Are you in need of a confidentiality agreement form but don’t want to spend money on a lawyer? Look no further! We have a free printable confidentiality agreement form that you can easily download and customize to suit your needs.
Protect your sensitive information with our easy-to-use template. Whether you’re sharing business secrets or personal details, having a signed confidentiality agreement can give you peace of mind.

free printable confidentiality agreement form
Free Printable Confidentiality Agreement Form
Our printable confidentiality agreement form is perfect for freelancers, small businesses, or anyone who needs to keep information private. Simply fill in the blanks, have both parties sign, and you’re good to go!
Not only does using a confidentiality agreement protect your information, but it also shows professionalism and establishes trust between parties. It’s a simple yet essential document for any type of business transaction.
Take advantage of our free printable confidentiality agreement form today and ensure that your sensitive information remains secure. Don’t risk potential leaks or misunderstandings – protect yourself and your business with this easy-to-use template.
Download our free printable confidentiality agreement form now and never worry about unauthorized disclosure again. It’s quick, simple, and best of all, it won’t cost you a dime. Get started today and safeguard your confidential information with ease!

45 Free Confidentiality Agreement Templates NDA TemplateArchive

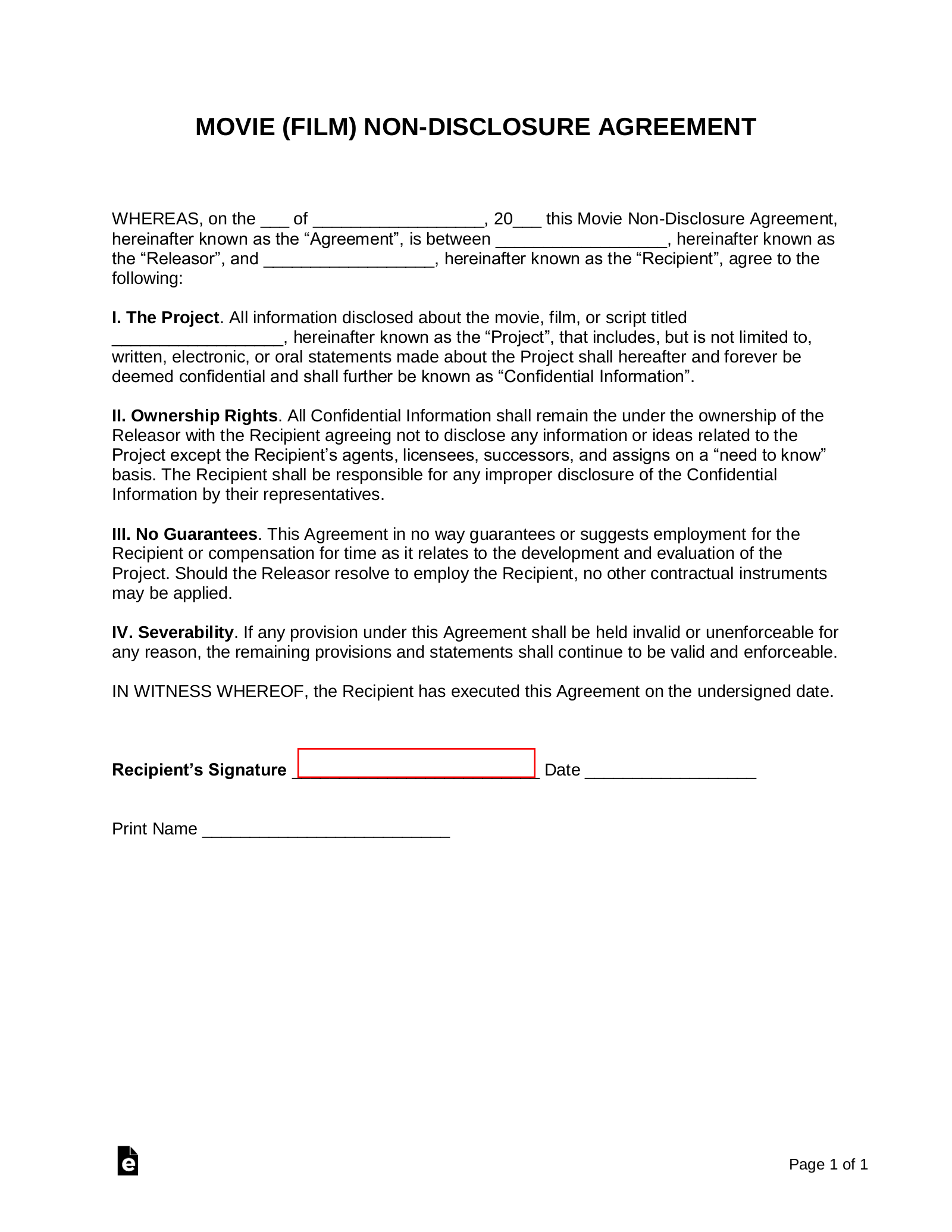
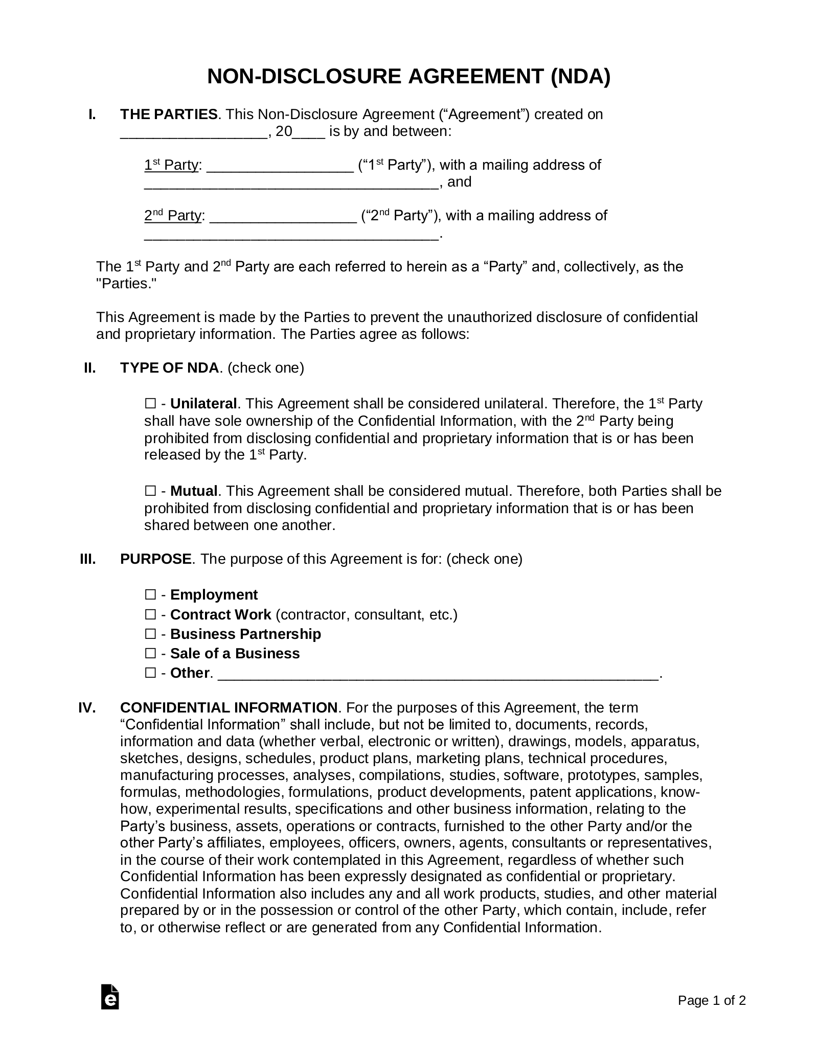
Free Non Disclosure Agreement NDA Templates 21 PDF Word EForms

Free Non Disclosure Agreement NDA Templates 21 PDF Word EForms
Trying a free printable confidentiality agreement form can make a big difference when it comes to boosting brain power. They’re perfect for strengthening language and pattern recognition. Because they’re printable, you can fit them into any schedule. Whether included in a family game night, a free printable confidentiality agreement form supports both fun and learning goals. These puzzles may be simple, but they sharpen minds.

Free Non Disclosure Agreement Template Document

Free Confidentiality Agreement Template PDF Word
Making learning part of your day is easier than ever. The right free printable confidentiality agreement form offers exactly that. Be it a daily project or a relaxing weekend task, these printables inspire without pressure. Try adding them to your morning routine, and watch your skills improve over time. At the end of the day, the right free printable confidentiality agreement form can turn spare moments into meaningful progress.